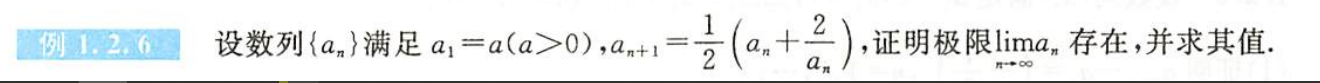
基础30讲-高等数学-ch2-数列极限 发表于 2021-05-23 更新于 2021-06-14 阅读次数: 本文字数: 136 阅读时长 ≈ 1 分钟凑数凑数凑数凑数题数总结类型数量例7习6例1.2.3解析收敛数列与总结题型错因教训视频讲解false例1.2.4解析加减乘除的极限等于极限的加减乘除总结题型错因教训视频讲解True例1.2.6解析总结题型错因教训视频讲解nan例1.2.7解析总结题型错因教训视频讲解nan